آموزش بیوانفورماتیک

آموزش گام‌به‌گام تحلیل بقا با داده‌های ژنومی RNAseq از پایگاه‌های GEO و TCGA در R

خلاصه این آموزش:

در این آموزش، نحوه‌ی استفاده از داده‌های بیان ژن از پایگاه‌های TCGA و GEO برای انجام تحلیل بقا و مدل‌سازی پیش‌آگهی بیماری به‌صورت گام‌به‌گام آموزش داده می‌شود. فراگیران یاد می‌گیرند چگونه داده‌ها را دریافت، نرمال‌سازی و با روش‌های آماری و نرم‌افزارهای تخصصی مانند R تحلیل کنند.
هدف دوره، ساخت مدل‌های قابل‌اعتماد برای پیش‌بینی ریسک بیماران و کاربرد آن در پژوهش‌های ژنتیکی و بالینی است.

نوع اموزش: فیلم فارسی و آنلاین

تعداد قسمت‌ها: 42 فیلم، مدت زمان آموزش:  19 ساعت و 44 دقیقه

آخرین به روز‌رسانی آموزش: 1404

تخفیف‌های این دوره:
زمان استفاده از این تخفیف به پایان رسیده است.
00 روز

:

00 ساعت

:

00 دقیقه

:

00 ثانیه
این تخفیف بعد از اتمام تخفیف قبلی فعال می‌شود
این تخفیف بعد از اتمام تخفیف قبلی فعال می‌شود
این تخفیف بعد از اتمام تخفیف قبلی فعال می‌شود
قیمت اصلی 1,200,000 تومان بود.قیمت فعلی 780,000 تومان است.

لطفا توجه نمایید که این آموزش تنها برای استفاده یک نفر مجاز می باشد، و هرگونه اشتراک گذاری آموزش ها با دیگران، کپی برداری یا تکثیر آموزش ها، خرید چند نفری، ارائه آموزش ها در وبینار و کلاس (حتی رایگان)، از لحاظ شرعی، قانونی و اخلاقی کاملا  غیرمجاز می باشد. 

توضیحات

سایر عنوان‌های این آموزش

مدل‌سازی تحلیل بقا (Survival Analysis) با داده‌های بیان ژن از پایگاه‌های TCGA و GEO: آموزش گام‌به‌گام ساخت مدل پیش‌آگهی بیماری با انتخاب ژن‌های بهینه

فیلم فارسی آموزش تحلیل بقا (Survival Analysis) با استفاده از داده‌های بیان ژن (ارناسک و میکرواری) – از پایه تا ساخت مدل‌های پیش‌بینی چندژنی

آموزش کاربردی تحلیل بقا با نرم‌افزارهای R، SPSS، GraphPad Prism و پایگاه‌های داده GEO و TCGA

معرفی آموزش

در این مجموعه آموزشی جامع و پروژه‌محور، یاد می‌گیرید چگونه داده‌های بیان ژن (Gene Expression) را برای انجام تحلیل بقا (Survival Analysis) آماده و تحلیل کنید. هدف این دوره آن است که بتوانید با استفاده از داده‌های واقعی و روش‌های آماری دقیق، مدل‌های چندژنی پیش‌بینی خطر (Risk Prediction Models) طراحی کنید تا به‌صورت علمی ریسک بقا یا مرگ‌ومیر بیماران را پیش‌بینی نمایید.

در ابتدا، مفاهیم پایه‌ای تحلیل بقا از جمله نرخ بقا، بقاء کلی (Overall Survival)، بقاء بدون پیشرفت بیماری (DFS)، مدل رگرسیون Cox، و مفاهیم Hazard Ratio به‌صورت تئوری آموزش داده می‌شود. سپس روش‌های بررسی پیش‌فرض‌های مدل (مانند تناسب خطرات و خطی بودن رابطه) و شناسایی داده‌های پرت توضیح داده می‌شود.

در ادامه، به‌صورت عملی یاد می‌گیرید که چگونه داده‌های واقعی را از پایگاه‌های معتبر جهانی مانند GEO و TCGA دانلود، پردازش و نرمال‌سازی کنید، سپس آن‌ها را با داده‌های کلینیکی و دموگرافی ترکیب کرده و برای انجام تحلیل بقا آماده نمایید. در این آموزش، تحلیل‌ها با چند نرم‌افزار مختلف انجام می‌شوند:

  • GraphPad Prism برای رسم نمودارهای Kaplan-Meier و محاسبه Hazard Ratio

  • SPSS برای انجام تحلیل بقا و آزمون‌های log-rank

  • R و RStudio برای ساخت مدل‌های چندمتغیره، مدل‌سازی Cox، بررسی پیش‌فرض‌ها، و ترسیم نمودارهای تخصصی با پکیج‌هایی مانند survival، survminer، glmnet، ggplot2

در بخش پیشرفته، نحوه ساخت مدل‌های چندژنی (Multi-Gene Prognostic Models) آموزش داده می‌شود. برای انتخاب بهترین ژن‌ها در مدل، از روش‌های آماری و یادگیری ماشین مانند Stepwise Regression، LASSO Regression و AIC Minimization استفاده می‌شود. سپس عملکرد مدل بر اساس داده‌های train و test ارزیابی و با نمودار ROC وابسته به زمان (Time-dependent ROC) و نمودار کالیبراسیون (Calibration Plot) بررسی می‌گردد.

در پایان، فراگیر قادر خواهد بود داده‌های واقعی را تحلیل، مدل‌های پیش‌بینی دقیق ایجاد، و نمودارهای حرفه‌ای مانند Kaplan-Meier، Forest Plot، Heatmap، و Risk Score Plot ترسیم کند.

فیلم فارسی آموزش تحلیل بقا (Survival Analysis) با استفاده از داده‌های بیان ژن (ارناسک و میکرواری) – از پایه تا ساخت مدل‌های پیش‌بینی چندژنی

🔹 ویژگی‌های برجسته دوره:

  • آموزش گام‌به‌گام از سطح پایه تا مدل‌سازی پیشرفته تحلیل بقا

  • کار با داده‌های واقعی از پایگاه‌های GEO و TCGA

  • معرفی و استفاده از نرم‌افزارهای متنوع (R، SPSS، GraphPad Prism)

  • آموزش کامل مدل‌سازی بقا با روش‌های Cox، LASSO و Stepwise

  • آموزش ترسیم نمودارهای تحلیلی و تفسیر علمی نتایج

  • مناسب برای دانشجویان و پژوهشگران حوزه‌های زیست‌شناسی مولکولی، ژنومیکس، بیوانفورماتیک و اپیدمیولوژی سرطان

💡 با تماشای این دوره، می‌آموزید چگونه با استفاده از داده‌های بیان ژن، مدل‌های آماری قابل اعتماد برای پیش‌بینی خطر و بقاء بیماران طراحی کنید و از آن در پژوهش‌های علمی خود بهره ببرید.

🎓 اگر به‌دنبال یادگیری تحلیل بقا و مدل‌سازی چندژنی به‌صورت عملی و علمی هستید، این آموزش یکی از کامل‌ترین دوره‌های فارسی در این زمینه است.

اهمیت و کاربرد تحلیل بقا در پژوهش‌های ژنومی

تحلیل بقا (Survival Analysis) یکی از ابزارهای کلیدی در مطالعات ژنومی و بیوانفورماتیکی است، زیرا به پژوهشگران امکان می‌دهد ارتباط میان بیان ژن‌ها، ویژگی‌های مولکولی و طول عمر بیماران را بررسی کنند. این نوع تحلیل نقشی مهم در پیش‌بینی پیش‌آگهی بیماری‌ها، ارزیابی پاسخ به درمان و شناسایی نشانگرهای زیستی (biomarkers) دارد.

در بسیاری از پروژه‌های ژنومی، به‌ویژه مطالعات مرتبط با سرطان، از داده‌های بزرگ حاصل از پایگاه‌های TCGA و GEO استفاده می‌شود. این پایگاه‌ها مجموعه‌های گسترده‌ای از داده‌های بیان ژن، RNA-seq، متیلاسیون و اطلاعات بالینی بیماران را در قالبی استاندارد و قابل تحلیل در اختیار پژوهشگران قرار می‌دهند.

نرم‌افزار R با دارا بودن بسته‌های تخصصی مانند Survminer، Survival، ggplot2، limma و سایر ابزارهای آماری، یکی از کارآمدترین محیط‌ها برای اجرای تحلیل بقا است. این نرم‌افزار به کاربران اجازه می‌دهد تمام مراحل—from دریافت داده تا مدل‌سازی و ترسیم منحنی‌های Kaplan-Meier یا ساخت مدل‌های خطر نسبی (Cox regression)—را در یک محیط منسجم و قابل تکرار انجام دهند.

به همین دلیل، تسلط بر تحلیل بقا در محیط R، مهارتی ضروری برای دانشجویان و پژوهشگرانی است که در حوزه‌های بیوانفورماتیک، ژنومیک سرطان و تحقیقات بالینی فعالیت دارند و می‌خواهند داده‌های واقعی را به نتایج علمی قابل استناد تبدیل کنند.

🌐اهمیت استفاده از داده‌های GEO و TCGA در تحلیل بقا

یکی از مراحل اساسی در انجام تحلیل بقا (Survival Analysis)، استفاده از داده‌های معتبر، گسترده و استاندارد است. در این زمینه، دو پایگاه داده‌ی جهانی GEO (Gene Expression Omnibus) و TCGA (The Cancer Genome Atlas) نقش مهمی در پیشبرد پژوهش‌های مرتبط با بیان ژن و مدل‌سازی پیش‌آگهی بیماری دارند.

پایگاه GEO که توسط مرکز ملی اطلاعات زیست‌فناوری آمریکا (NCBI) پشتیبانی می‌شود، مجموعه‌ای عظیم از داده‌های اُمیکس شامل بیان ژن، ریزRNA، متیلاسیون و سایر داده‌های ژنتیکی را به‌صورت رایگان در اختیار محققان قرار می‌دهد. این منبع به دلیل تنوع زیاد نمونه‌ها، استانداردسازی بالا و پوشش گسترده‌ی پروژه‌های پژوهشی، یکی از منابع اصلی در مطالعات بیوانفورماتیکی محسوب می‌شود.

از سوی دیگر، پروژه‌ی TCGA یکی از بزرگ‌ترین و جامع‌ترین برنامه‌های بین‌المللی در زمینه‌ی تحلیل مولکولی و ژنومی سرطان‌ها است. داده‌های این پایگاه شامل بیان ژن، RNA-seq، متیلاسیون، پروتئومیکس و اطلاعات بالینی بیماران است که امکان انجام تحلیل‌های چندبعدی و ارزیابی رابطه‌ی میان سطح بیان ژن‌ها و بقا را فراهم می‌کند.

مزیت‌های استفاده از داده‌های GEO و TCGA در آموزش و پژوهش

به‌کارگیری داده‌های موجود در پایگاه‌های GEO و TCGA در تحلیل‌های بیوانفورماتیکی مزایای قابل‌توجهی دارد:

  • دسترسی آزاد و رایگان به داده‌های پژوهشی باکیفیت در سطح بین‌المللی؛

  • تنوع گسترده‌ی نمونه‌ها شامل انواع بافت‌ها، سلول‌ها و بیماری‌ها؛

  • هماهنگی و استاندارد بودن داده‌ها از نظر فرمت، روش آزمایش و کنترل کیفیت؛

  • قابلیت بازتحلیل و تکرار نتایج علمی در پروژه‌های مختلف؛

  • افزایش دقت و قدرت آماری تحلیل‌ها به دلیل حجم زیاد داده‌های در دسترس؛

  • و امکان یادگیری عملی تحلیل داده‌های واقعی بدون نیاز به تولید داده‌های آزمایشگاهی.

در نتیجه، آشنایی با کار با داده‌های GEO و TCGA در محیط R یکی از مهارت‌های کلیدی برای پژوهشگران و دانشجویان فعال در حوزه‌های بیوانفورماتیک، ژنومیک و مطالعات سرطان به شمار می‌رود.

در فیلم زیر، توضیحات کاملی در مورد مزیت‌های این آموزش و مباحثی که آموزش آن‌ها توضیح داده شده است ارائه شده است تا پیش از شروع دوره با محتوای آموزشی و اهداف آن به‌خوبی آشنا شوید.

 

🌟 مزیت‌های این آموزش

  • آموزش جامع و پروژه‌محور تحلیل بقا (Survival Analysis) با داده‌های واقعی بیان ژن از پایگاه‌های معتبر TCGA و GEO به‌صورت گام‌به‌گام.

  • آماده‌سازی کامل داده‌ها از مراحل دریافت و نرمال‌سازی تا انجام مدل‌سازی آماری و ارزیابی نتایج.

  • توضیح ساده و مفهومی هر مرحله از تحلیل برای درک بهتر مفاهیم بیوانفورماتیکی و آماری، بدون نیاز به پیش‌زمینه تخصصی.

  • استفاده از داده‌های واقعی بیماران برای افزایش درک عملی و توانایی اجرای تحلیل‌های مشابه در پروژه‌های پژوهشی.

  • آموزش رسم نمودارهای بقا و منحنی‌های Kaplan-Meier و تفسیر نتایج به‌صورت تصویری و کاربردی.

  • ارائه تمامی اسکریپت‌ها و فایل‌های R موردنیاز جهت بازتولید کامل تحلیل‌ها و تمرین عملی هم‌زمان با ویدیوها.

  • پشتیبانی آموزشی کامل در تمامی مراحل تحلیل از طریق تلگرام، واتساپ یا ایتا به شماره 09050250034.

  • این دوره شامل 42 بخش ویدئویی فارسی است که جزئیات هر بخش در پایین صفحه آورده شده است.

 

فهرست کامل موارد آموزش داده شده:

فیلم اول:

مدت زمان: 32 دقیقه
محتوا:

بخش تئوری آموزش-قسمت اول

مفهوم تحلیل بقا

ضرورت انجام تحلیل بقا

معرفی مباحثی که در این آموزش پوشش داده‌شده است.

 

فیلم دوم:
مدت زمان: 20دقیقه
محتوا:

بخش تئوری آموزش-قسمت دوم

توضیح شرایطی که داده‌ها برای آنالیز بقا باید داشته باشند

 

فیلم سوم:
مدت زمان: 29 دقیقه
محتوا:

بخش تئوری آموزش-قسمت سوم

آشنایی با تحلیل بقا و مفاهیم اولیه آن

آشنایی با نرخ بقا، سانسور داده‌ها، بقاء کلی و DFS و نمودار کاپلان مایر

آشنایی با روش‌های انجام آنالیز بقا و نرخ خطر (hazard ratio)

آشنایی با تحلیل بقا و مفاهیم اولیه آن

فیلم چهارم:
مدت زمان: 20 دقیقه

محتوا:

بخش تئوری آموزش-قسمت سوم

آشنایی با بررسی پیش‌فرض‌های آنالیز بقا

آشنایی با روش بررسی فرض تناسب خطرات (proportional hazards)

آشنایی با روش بررسی فرض خطی بودن رابطه

آشنایی با روش‌های شناسایی داده‌های پرت

آشنایی با روش‌های شناسایی داده‌های پرت در آنالیز بقا

فیلم پنجم:
مدت زمان: 42 دقیقه
محتوا:

آموزش مشاهده نمودار بقا و آنالیز بقا با ابزارهای آنلاین با استفاده از داده‌های برنامه TCGA

 

فیلم ششم:
مدت زمان: 27 دقیقه
محتوا:

آموزش مشاهده نمودار بقا و آنالیز بقا با ابزارهای آنلاین با استفاده از داده‌های برنامه TCGA-بخش دوم

آموزش تحلیل بقا با پایگاه داده Oncodb و Gepia2

 

فیلم هفتم:
مدت زمان: 29 دقیقه
محتوا:

آموزش انجام آنالیز بقا با نرم افزار گرافپدپریزم

آموزش رسم نمودار بقا (کاپلان میلر) با نرم افزار گرافپدپریزم

مقایسه آماری نرخ بقا بین گروه‌های مختلف با آزمون log ranked

آموزش محاسبه Hazard ratio با نرم افزار گرافپدپریزم

مقایسه آماری نرخ بقا بین گروه‌های مختلف با آزمون log ranked

فیلم هشتم:
مدت زمان: 24 دقیقه
محتوا:

ادامه آموزش انجام آنالیز بقا با نرم افزار گرافپدپریزم

بررسی پیش‌فرض‌های تحلیل بقا با نرم افزار گرافپد پریزم

بررسی پیش‌فرض‌های تحلیل بقا با نرم افزار گرافپد پریزم

فیلم نهم:
مدت زمان: 21 دقیقه
محتوا:

ادامه آموزش انجام آنالیز بقا با نرم افزار گرافپدپریزم

آموزش محاسبه adjusted Hazard ratio با نرم افزار گرافپدپریزم

 

فیلم دهم:
مدت زمان: 13 دقیقه
محتوا:

رسم نمودارهای نرخ بقا و نرخ خطر برای گروه‌های مختلف

آموزش آنالیز بقا برای بیش از 2 گروه

آموزش آنالیز بقا برای بیش از 2 گروه

فیلم یازدهم:
مدت زمان: 20 دقیقه
محتوا:

آموزش انجام آنالیز بقا با نرم افزار SPSS

آموزش رسم نمودار بقا (کاپلان میلر) با نرم افزار SPSS

آموزش محاسبه adjusted Hazard ratio با نرم افزار SPSS

آموزش محاسبه adjusted Hazard ratio با نرم افزار SPSS

فیلم دوازدهم:
مدت زمان: 33 دقیقه
محتوا:

آموزش جستجو در پایگاه داده GEO برای داده‌های بقا

آموزش دانلود دادهها مرتبط با آنالیز بقاء از پایگاه داده GEO

آموزش دانلود دادههای دموگرافی و کلینیکی نمونه‌ها

 

فیلم سیزدهم:
مدت زمان: 22 دقیقه
محتوا:

آموزش نصب نرم‌افزار R و Rstudio

آموزش نصب پکیج‌های لازم برای آنالیز بقا با R

 

فیلم چهاردهم:
مدت زمان: 10 دقیقه
محتوا:

آموزش دانلود دادهها از پایگاه داده GEO برای آنالیز بقا

آموزش خوانش داده‌ها با نرم افزار R

آموزش به روزرسانی اسم ژن‌ها

 

فیلم پانزدهم:
مدت زمان: 42 دقیقه
محتوا:

آموزش آماده سازی داده‌های بیانی برای انجام آنالیز بقا

آموزش نرمال‌سازی داده‌های بیانی

آموزش شناسایی و حذف ژن‌هایی که بیان ندارند

آموزش شناسایی داده‌های پرت

 

فیلم شانزدهم:
مدت زمان: 13 دقیقه
محتوا:

سازماندهی داده‌های کلینیکی برا انجام آنالیز بقا

آموزش ادغام داده‌های کلینیکی با داده‌های بیانی

 

فیلم هفدهم:
مدت زمان: 31 دقیقه
محتوا:

انجام آنالیز بقا در نرم افزار R

آموزش مدل رگرسیون cox برای انجام آنالیز بقا و محاسبه hazard ratio

 

فیلم هجدهم:
مدت زمان: 34 دقیقه
محتوا:

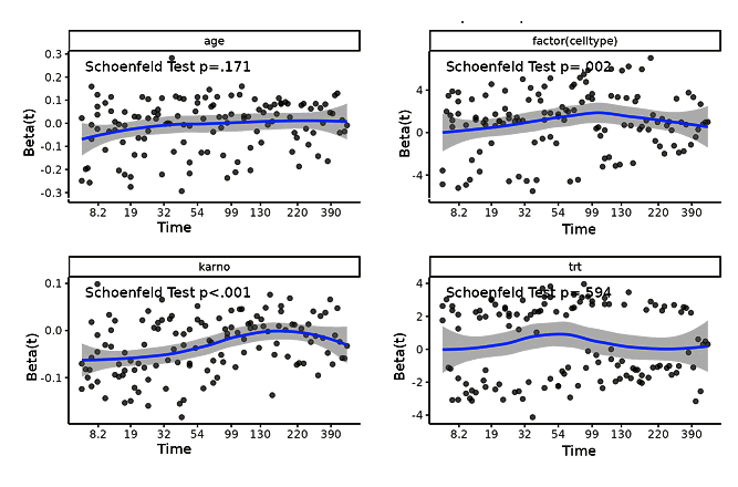
بررسی فرض تناسب خطرات (proportional hazards) برای آنالیز بقا

شناسایی داده‌های پرت با رسم نمودار

بررسی فرض تناسب خطرات (proportional hazards) برای آنالیز بقا در R

فیلم نوزدهم:
مدت زمان: 28دقیقه
محتوا:

آموزش آنالیز بقا با مدل‌های بهینه شده برای ژن‌هایی که فرض تناسب خطرات (proportional hazards) را ندارند

رسم نمودار برای مدل‌های بهینه شده

آموزش آنالیز بقا با مدل‌های بهینه شده برای ژن‌هایی که فرض تناسب خطرات (proportional hazards) را ندارند

فیلم بیستم:
مدت زمان: 40دقیقه

محتوا:

بررسی پیش فرض خطی بودن رابطه در مدل cox

آموزش آنالیز بقا با مدل‌های بهینه شده برای ژن‌هایی که فرض خطی بودن را ندارند

رسم نمودار برای مدل‌های جدید

آموزش آنالیز بقا با مدل‌های بهینه شده برای ژن‌هایی که فرض خطی بودن را ندارند

فیلم بیست و یکم:
مدت زمان: 33 دقیقه
محتوا:

محاسبه adjusted hazard ratio

بررسی پیش فرض‌های مدل بقا برای covariateها

 

فیلم بیست و دوم:
مدت زمان: 20 دقیقه
محتوا:

بررسی فرض تناسب خطرات (proportional hazards) برای آنالیز بقا برای مدل چند متغیره

بررسی پیش فرض خطی بودن رابطه در مدل cox برای مدل چند متغیره

 

فیلم بیست و سوم:
مدت زمان: 51 دقیقه
محتوا:

گروه‌بندی نمونه‌ها به بیان ژن بالا و پایین برای انجام آنالیز بقا

محاسبه hazard ratio برای گروه با بیان بالا نسبت به گروه با بیان پایین با مدل cox

بررسی پیش‌فرض های مدل cox

رسم نمودار بقای کاپلان مایر برای نمایش نرخ بقا بین گروه‌ها

 

فیلم بیست و چهارم:
مدت زمان: 15 دقیقه
محتوا:

محاسبه نرخ بقا و رسم نمودار کاپلان میلر

مقایسه نرخ بقا بین گروه‌ها با آزمون log-rank

بررسی پیش‌فرض های مدل بقا

محاسبه نرخ بقا و رسم نمودار کاپلان میلر

فیلم بیست و پنجم:
مدت زمان: 10 دقیقه
محتوا:

محاسبه نرخ بقاء 5 ساله

محاسبه میانه نرخ بقا

محاسبه نرخ بقاء 5 ساله

فیلم بیست و ششم:
مدت زمان: 18 دقیقه
محتوا:

رسم نمودار فارست (forest plot) برای نمایش نتایج آنالیز بقا

فیلم بیست و هفتم:
مدت زمان: 13 دقیقه
محتوا:

معرفی مقاله برای انجام آنالیزهای بعدی

آشنایی با روش‌های دانلود داده‌های بیانی از برنامه TCGA

آشنایی با روش‌های دانلود داده‌های بیانی از برنامه TCGA

فیلم بیست و هشتم:
مدت زمان: 49 دقیقه
محتوا:

آموزش انتخاب پروژه از برنامه TCGA برای سرطان و بافت موردنظر

آموزش فیلتر کردن نمونه‌ها و مشاهده فایل‌های مربوط به بیان ژن‌ها

دانلود داده‌های کلینیکی و اطلاعات نمونه‌ها

دانلود داده‌های بیان ژن‌ها از برنامه TCGA با استفاده از برنامه R

 

فیلم بیست و نهم:
مدت زمان: 49 دقیقه
محتوا:

آموزش سازماندهی داده‌های بیان ژن‌ها از برنامه TCGA

سازماندهی اطلاعات دموگرافی و کلینیکی نمونه‌ها برای آنالیز بقا

 

فیلم سی‌ام:
مدت زمان: 48 دقیقه
محتوا:

خوانش داده‌های بیانی RNAseq

فیلتر کردن ژن‌ها با بیان کم

نرمال سازی داده‌های RNAseq

محاسبه امتیاز ایمنی و استرومایی برای نمونه‌ها بر اساس مقاله مربوطه

گروه‌‎بندی نموه‌ها براساس امتیاز ایمنی و استرومایی به گروه‌های high و low

مقایسه اماری بیان ژن‌ها بین گروه‌های high و low و محاسبه fold chage و p value

فیلتر کردن ژن‌هایی که بین گروه‌های فوق اختلاف معنی داری نشان دادند برای انجام آنالیز بقا

 

فیلم سی و یکم:
مدت زمان: 42 دقیقه
محتوا:

رسم نمودار برای مقایسه  امتیاز ایمنی و استرومایی برای گروه‌های مختلف

انجام انالیز بقا، رسم نمودار کاپلان میلر و آزمون log-rank بر اساس امتیاز ایمنی و استرومایی

 

فیلم سی و دوم:
مدت زمان: 29 دقیقه
محتوا:

انجام آنالیز بقا و آزمون log-rank برای ژن‌های منتخب در قسمت قبلی

ترسم نمودار کاپلان میلر برای ژن‌ها

 

فیلم سی و سوم:
مدت زمان: 7 دقیقه
محتوا:

آشنایی با روش‌های نرمال سازی داده‌های RNAseq برای انالیز بقا

نرمال سازی داده‌های RNAseq با پکیج DESeq2

نرمال سازی داده‌های RNAseq با پکیج edgeR

 

فیلم سی و چهارم:
مدت زمان: 40 دقیقه
محتوا:

دانلود داده‌های بیانی مربوط با میکروارناهای بالغ از برنامه TCGA

سازماندهی داده‌های بیانی مربوط با میکروارناهای بالغ

به روز رسانی اسم میکروارناهای بالغ

 

فیلم سی و پنجم:
مدت زمان: 11 دقیقه
محتوا:

سازماندهی داده‌های بیانی مربوط با پیش‌سازهای میکروارنا از برنامه TCGA

 

فیلم سی و ششم:
مدت زمان: 11 دقیقه
محتوا:

بخش تئوری روش مدل سازی برای بقا

آشنایی با روش ساخت مدل و محاسبه امتیازها

آشنایی با روش‌های انتخاب ژن‌ها برای ساخت مدل

آشنایی با روش‌های انتخاب ژن‌ها برای ساخت مدل

فیلم سی و هفتم:
مدت زمان: 34 دقیقه
محتوا:

دانلود داده‌های بیانی ژن‌ها با روش RNAseq برای مدل سازی

اماده سازی و نرمال کردن داده‌ها با پکیج DeSeq2

 

فیلم سی و هشتم:
مدت زمان: 31 دقیقه
محتوا:

آماده سازی داده‌ها  برای ساخت مدل و تست آن

انتخاب نمونه‌های train و test

آموزش ساخت مدل و محاسبه امتیازها بر اساس ژن‌های انتخاب شده

رسم نمودار کاپلان میلر و  آزمون log-rank برای مدل

رسم نمودار کاپلان میلر و  آزمون log-rank برای مدل

فیلم سی و نهم:
مدت زمان: 16 دقیقه
محتوا:

آموزش انتخاب ژن‌ها برای ساخت مدل بر اساس کمترین AIC

 

فیلم چهلم:
مدت زمان: 15 دقیقه
محتوا:

آموزش انتخاب متغیرها برای ساخت مدل بقا با روش رگرسیون stepwise

ساخت مدل بر اساس ژن‌های انتخاب شده

بررسی عملکرد مدل بر روی داده‌های تست

 

فیلم چهل و یکم:
مدت زمان: 42 دقیقه
محتوا:

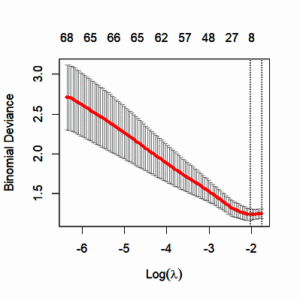
آموزش انتخاب متغیرها برای ساخت مدل بقا با روش lasso

ساخت مدل بر اساس ژن‌های انتخاب شده و بررسی عملکرد مدل بر روی داده‌های تست

ترسم نمودار کالیبراسیون (calibration plot)

انالیز و رسم نمودار راک وابسته به زمان (Time-dependent ROC) و محاسبه AUC

  انالیز و رسم نمودار راک وابسته به زمان (Time-dependent ROC) و محاسبه AUC  

فیلم چهل و دوم:
مدت زمان: 42 دقیقه
محتوا:

رسم سایر نمودارها با پکیج ggplot2

آموزش ترسیم نمودار برای اسکورهای محاسبه در مدل بقا

آموزش ترسیم هیتمپ برای ژن‌های مدل بقا

آموزش ترسیم نمودار برای اسکورهای محاسبه در مدل بقاآموزش ترسیم نمودار برای اسکورهای محاسبه در مدل بقا

🔹 مزیت منحصربه‌فرد این آموزش: دسترسی مستقیم به داده‌ها و کدهای واقعی

یکی از نقاط قوت این دوره، ارائه‌ی فایل‌های واقعی و قابل‌استفاده برای انجام تحلیل بقا است. تمام داده‌ها و منابع موردنیاز در اختیار شما قرار می‌گیرد تا بتوانید هم‌زمان با مشاهده‌ی آموزش‌ها، مراحل تحلیل را خودتان انجام دهید و درک عمیق‌تری از فرآیند مدل‌سازی و تفسیر نتایج به‌دست آورید.

به‌همراه این دوره، کدهای کامل و آماده‌ی R نیز ارائه می‌شود که به‌صورت مرحله‌به‌مرحله با ویدیوها هماهنگ شده‌اند. با اجرای این کدها می‌توانید تحلیل‌ها را بازتولید کرده و نمودارهای مرتبط با بقا و ریسک را به‌طور عملی ترسیم کنید.

این ساختار آموزشی باعث می‌شود فرایند یادگیری شما نه‌تنها سریع‌تر، بلکه کاربردی‌تر و تجربه‌محورتر باشد؛ به‌طوری‌که در پایان دوره قادر خواهید بود تحلیل‌های مشابه را به‌صورت مستقل انجام دهید.

نقد و بررسی‌ها

  1. Motahareh Jahangir (خریدار محصول)

    سلام دوره بسیار جامعی بود که تمامی نکات به سادگی و از ابتدا آموزش داده شدند. سپاس از زحمت شما برای ساخت این دوره ارزشمند.

دیدگاه خود را بنویسید

نشانی ایمیل شما منتشر نخواهد شد. بخش‌های موردنیاز علامت‌گذاری شده‌اند *


پشتیبانی:

در صورت مواجهه با مشکل یا نیاز به پشتیبانی برای این آموزش، کافی است تا با شماره 09050250034 در پیام‌رسان‌های تلگرام، واتساپ و یا ایتا در تماس باشد و تصویر خطا و یا مشکل پیش آمده را ارسال نمایید تا راهنمایی‌های لازم برایتان ارائه شود.

محصولات مرتبط